《工地夫妻》原声版,黑客破居家解摄像头夫妻一过,吕总张金鱼三部曲都是什么

首页> 产品中心 > 阳离子纤维素系列

名称 :KY-JR400

中文INCI名称/CAS号 : 聚季铵盐-10(Polyquaternium-10)
<br />CAS:68610-92-4
外观 : 白色至浅黄色粉末 作用:优秀的高取代度柔顺调理剂 ,赋予头发优越的梳理性能和光泽滑爽的感觉。也可用于皮肤护理,起保湿、光滑和柔润作用。
  • 详情描述 规格参数
  • 产品说明:

    KY-JR400是具有优越水溶性和吸附能力的阳离子纤维素聚合物,能与阴离子、阳离子、非离子和两性离子表面活性剂兼容,刺激性低,其独特的阳离子性能可修复受损的头发蛋白质基体,保持头发滋润,赋予头发优越的梳理性能和亮泽滑爽的感觉。

    KY-JR400也可应用于皮肤护理方面,能保持皮肤湿润,防止皮肤冻裂,令肌肤光滑柔润。

    ?可用于透明体系产品。

    CTFA名称:

    聚季铵盐-10


    CAS号:

    ??? 68610-92-4


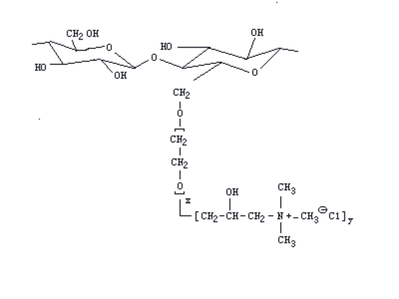
    化学结构:

    ????










    产品性能
    :

    ?? 用于头发

    ●?? 亲和力强

    ●?? 修补头发开叉

    ●?? 在头发上形成透明连续的薄膜

    ●?? 提供极佳的保湿性能

    ●?? 改善受损发质

    ?

    ?

    ? 用于皮肤

    ? ? ? ? ? ??●? 亲和力强

    ●? 极佳的用后感

    ●?? 提高皮肤抗紫外线能力


    使用说明:

    ? ?用户使用前请向供应商索取相关资料,使用过程中如有问题请致电:0086-757-83332545


    产品有效期:

    ?? 在40℃以下通风、避光、干燥环境中贮存,产品有效期为生产日期后24个月。


    包装规格:

    ?? ?25kg/纸桶

  • 理化指标:

    外观: ? ? ? ? ? ? ? ? ? ? ? ? ? ? ? ? ? ? ? 白色至浅黄色粉末

    气味: ? ? ? ? ? ? ? ? ? ? ? ? ? ? ? ? ? ? ? 轻微特征气味

    干燥失重(%): ? ? ? ? ? ? ? ? ? ? ? ? ≤6

    灰分(%): ? ? ? ? ? ? ? ? ? ? ? ? ? ? ? ≤3

    粘度(2%水溶液,20℃,cps):300-500

    含氮量(%): ? ? ? ? ? ? ? ? ? ? ? ? ?1.5-2.2

    ?

    产品有毒物质限量标准:


    ? ? 名称??????????? 标准(mg/kg)


    ????? 汞???????????????? ≤1

    ????? 铅???????????????? ≤10

    ????? 砷 ? ? ? ? ? ? ? ? ≤2

    ???? ?镉 ? ? ? ? ? ? ? ? ≤5


  • 主站蜘蛛池模板: 澄江县| 尼木县| 白水县| 正定县| 社会| 墨竹工卡县| 泰顺县| 延边| 蚌埠市| 南华县| 新沂市| 罗定市| 秦安县| 新和县| 密山市| 寻乌县| 唐河县| 涿鹿县| 个旧市| 始兴县| 河北区| 旌德县| 德保县| 平谷区| 伊春市| 三门县| 佳木斯市| 建宁县| 本溪市| 镇原县| 青铜峡市| 儋州市| 永城市| 石林| 和林格尔县| 云安县| 蓬溪县| 桂平市| 海南省| 扶余县| 英吉沙县|